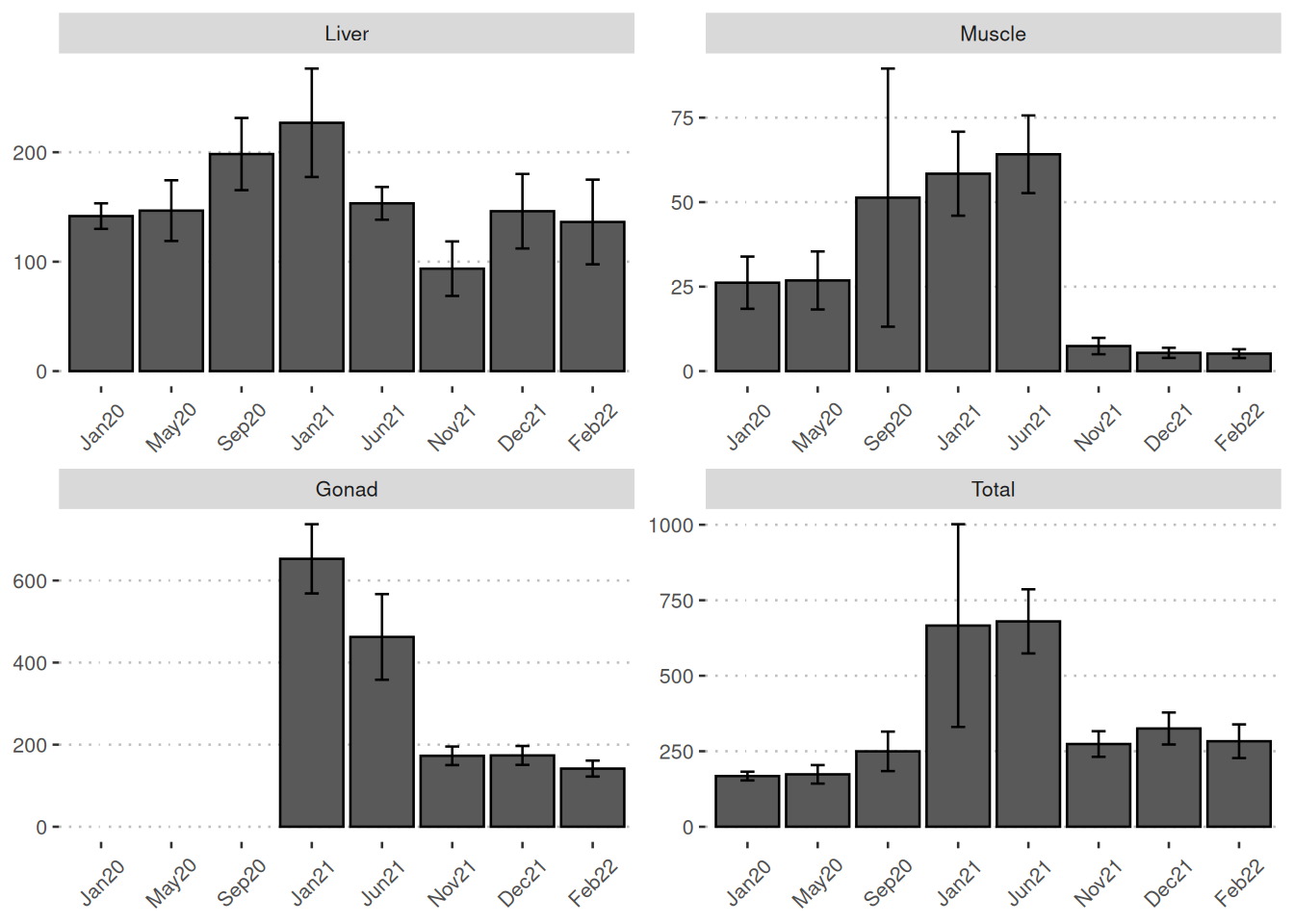
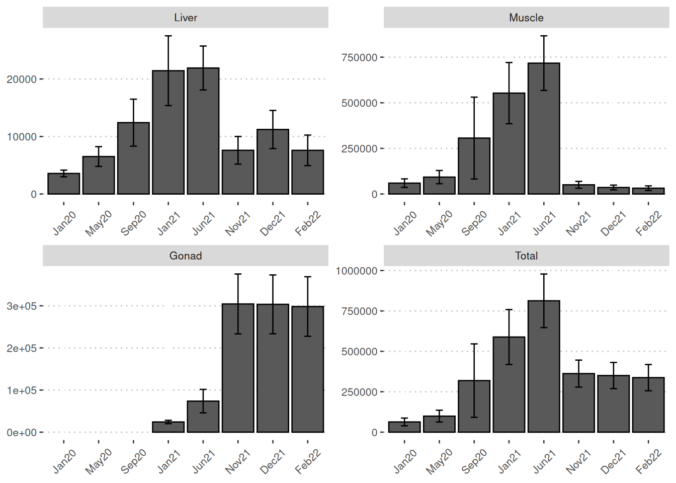
Unit: mg/kg ww
Weight adjusted (Vitamin C)
Adjusted values by tissue weights for vitamin C samples
About this page
This page provides tissue weight-adjusted values for various nutrients.
Statistical analysis
No statistical analysis has been conducted on the data presented on this page.
Page sections
The page is organized into two sub-sections, each featuring box plots displaying average values for eight different months, including three spawning months (Nov21, Dec21, and Feb22). Total values are calculated as the sum of measurements from three tissues: liver, muscle, and gonad.
No weight adjustment - Mean ± SD All values are measurements without weight adjustment.
Adjusted by tissue weights - Mean ± SD All values are adjusted by the corresponding tissue weights for each individual fish.
Vitamin C
Vitamin C
1. No weight adjustment - Mean ± SD

2. Adjusted by tissue weights - Mean ± SD
